内容详情

考研数学出题老头的惯用伎俩:偷换概念

作者:聚创考研网-小黑老师 点击量:7821 2018-06-22

聚英考研信息网小编发现在考研数学2004年的真题中出现过一道关于导数定义方面,最纠结的一个问题,但是,做完这道题,你会对导数定义有一个更深的理解。

问题:设函数f(x)连续,且f(0)>0,则存在δ>0,使得()

A.  f(x)在(0, δ)内单调增加            

B. f(x)在(-δ,0)内单调减少

C. 对任意x∈(0, δ),有f(x)>f(0)        

D. 对任意x∈(-δ,0),有f(x)>f(0)

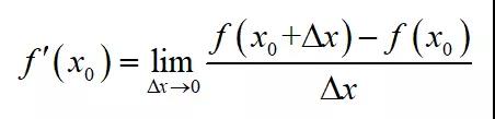
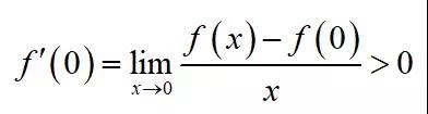
先说正确答案,C选项,根据导数定义和极限的保号性就能得出结论,简单描述一下,首先在0点处导数定义是:

这个式子有分子和分母,分母只有一个x,当x∈(0, δ)时肯定大于0,分子是一个减法f(x)-f(0),根据已知,由于在0点的导数大于0,保号性可得在邻域内导数定义整个分式一定大于0,因此分子也得大于0,f(x)- f(0)>0,因此C选项正确。

这个结果完全没问题,但是有些同学细一琢磨,发现问题不是这么的简单,为什么A选项不对?

假如我们从A选项的角度分析这道题

f(0)>0,根据极限的保号性可知,在x的一个小邻域(-δδ)内f(x)那就应该取正值,这样的话,就可以判断在x的这个邻域内f(x)>0,然后立即推,函数单调增加,答案是选A。

但是,相信同学读到这以后已经蒙逼了,这就是出题老头的惯用伎俩:偷换概念。

在哪偷换概念了?我们来回顾一下极限的保号性这个性质。

极限的保号性:若lim f(x)=A(x→x0)(A>0),则在点x=x0的某个去心邻域上,必有f(x)>0,反之,极限A小于0则函数在某个去心邻域上均取负值。看出问题来了吗?

保号性的结论,自然没什么问题,但是这个问题的根源在于前提,请仔细观察,极限的保号性要想成立的话,需要什么前提?

前提是这个:limf(x)=A(x→x0)

所以,这个式子说明什么?

说明函数在这个点有极限。

回到上面的那道2004年考研数学真题,如果想对导函数直接使用保号性,那么就必须要有这个前提:lim f(x)(x→0)=A,可是这题里面有没有这个条件呢?

有些同学回答了:有啊,你看f(0)>0,这不就是说lim f(x)(x→0)=A>0嘛。

但是,f(0)>0说的是什么?

函数在一点导数大于0,limf(x)(x→0)=A>0说的是什么,导函数在这点极限存在且大于0,所以,函数在一点的导数和导函数在一点的极限是一回事儿吗?当然不是了。

这点知识比较绕,聚英小编用数学符号来给你阐述一下,函数在一点的导数是什么?

再看导函数在一点的极限是什么?

看出来了吗?一个是取一次极限,一个是在极限算出来的基础上再取一次极限,相当于取了一个二次极限,这俩完全就是两个概念,风马牛不相及,既然在一点导数存在不能推导函数在这点极限存在,那么导函数的保号性就没法使用了,因此A选项的分析,前提错误,结论自然站不住脚。

本文的主要议题就是函数在一点导数存在,和导函数在这一点极限存在之间的区别和关系,通过以上例题和解析,最终的结论是,这俩完全没关系,那么具体怎么没关系,有没有什么可以说明这个的反例?

加入到聚英暑期集训营中,不仅有公共课,还有专业课针对性辅导。全程督学、高三式学习、军事化管理,硬件设施完善、空调水果热水器一应俱全、导师考研阅卷和答题经验丰富、考研信息资料齐全、答疑解惑,强化辅导。风里雨里,聚英考研信息网在这里等你~

聚英暑期魔鬼训练营

推荐阅读:

1数学底子较差,复习进度比别人慢,还强行被比较,该怎么办?

2强推!你不知道的2019考研数学一二三重难点汇总


以上是聚创考研网为考生整理的"考研数学出题老头的惯用伎俩:偷换概念"的相关考研信息,希望对大家考研备考有所帮助! 备考过程中如有疑问,也可以添加老师微信juchuang911进行咨询。


免责声明:本网站发表的部分公开资料来源于互联网,目的在于传递更多信息及用于网络分享,并不代表本站赞同其观点和对其真实性负责。聚创考研网尊重版权,如有侵权问题,请及时联系(WX:juchuang911)

  • 24考研复试大纲及其流程解析

  • 【准大三】考研院校专业选择揭秘

  • 24考研调剂全流程解析

搜索不到想要的信息?联系在线客服或者添加微信咨询
取消
复制微信号