作者:聚创考研网-小黑老师 点击量:3729 2018-06-22

聚英暑期魔鬼集训营装备全面升级,硬件设施完善、学校住宿、空调水果热水器一应俱全、导师考研阅卷经验丰富、考研信息资料齐全、为你答疑解惑,强化辅导公共课+专业课学习基础。风里雨里,聚英考研信息网在这里等你~
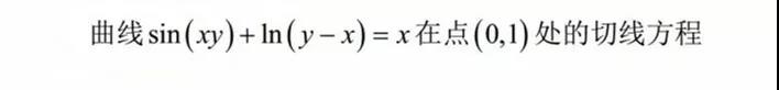
推荐阅读:以上是聚创考研网为考生整理的"每日一做:求曲线的切线方程Part.21"的相关考研信息,希望对大家考研备考有所帮助! 备考过程中如有疑问,也可以添加老师微信juchuang911进行咨询。
免责声明:本网站发表的部分公开资料来源于互联网,目的在于传递更多信息及用于网络分享,并不代表本站赞同其观点和对其真实性负责。聚创考研网尊重版权,如有侵权问题,请及时联系(WX:juchuang911)