内容详情

2018管理类联考综合能力数学知识点解析之数列

作者:聚创考研网-小黑老师 点击量:1780 2016-10-22

  以下是聚英考研网为管理类联考考生整理的初等数学数列考点解析,供广大考生学习。

2018管理类联考综合能力数学知识点解析之数列

  七、数列

  1、an与sn的关系

2018管理类联考综合能力数学知识点解析之数列

  2、等差数列(核心考点)

  (1)等差数列通项公式

2018管理类联考综合能力数学知识点解析之数列

  (2)前n项和sn(梯形面积)

2018管理类联考综合能力数学知识点解析之数列

  函数的特点:

2018管理类联考综合能力数学知识点解析之数列

  3、等差数列重要公式及性质

2018管理类联考综合能力数学知识点解析之数列

  4、等比数列

  注意:等比数列中任一元素都不为0

2018管理类联考综合能力数学知识点解析之数列

  (3)所有项和s

2018管理类联考综合能力数学知识点解析之数列

  5、等比数列性质

2018管理类联考综合能力数学知识点解析之数列

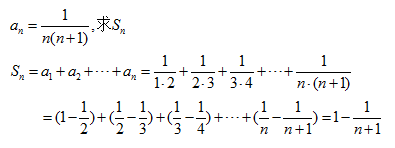
  6、特殊数列求和(差分求和法)

2018管理类联考综合能力数学知识点解析之数列

      推荐阅读:

  管理类联考数学知识点:二项式
  管理类联考数学知识点解析之二次方程

 


以上是聚创考研网为考生整理的"2018管理类联考综合能力数学知识点解析之数列"的相关考研信息,希望对大家考研备考有所帮助! 备考过程中如有疑问,也可以添加老师微信juchuang911进行咨询。


免责声明:本网站发表的部分公开资料来源于互联网,目的在于传递更多信息及用于网络分享,并不代表本站赞同其观点和对其真实性负责。聚创考研网尊重版权,如有侵权问题,请及时联系(WX:juchuang911)

  • 24考研复试大纲及其流程解析

  • 【准大三】考研院校专业选择揭秘

  • 24考研调剂全流程解析

搜索不到想要的信息?联系在线客服或者添加微信咨询
取消
复制微信号