内容详情

管理类联考数学知识点:二项式

作者:聚创考研网-小黑老师 点击量:2744 2016-10-21

  以下是聚英考研网为管理类联考考生整理的初等数学二项式知识点解析,供广大考生学习。

  六、二项式

  1、管理类联考数学知识点:二项式即:与首末等距的两项的二项式系数相等

  2、管理类联考数学知识点:二项式即:展开式各项二项式系数之和为2n

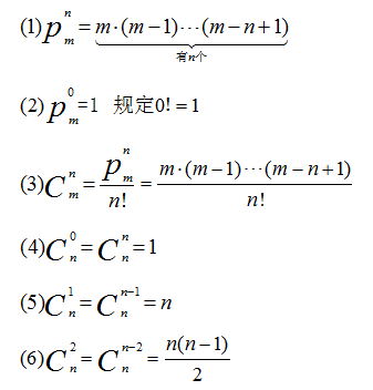
  3、常用计算公式

管理类联考数学知识点:二项式

 4、通项公式

管理类联考数学知识点:二项式

 5、展开式系数

管理类联考数学知识点:二项式

  6、内容列表归纳如下:

管理类联考数学知识点:二项式

 

    推荐阅读

2018管理类联考综合能力数学知识点解析之二次不等式

2017年管理类联考数学知识点预测

 

 


以上是聚创考研网为考生整理的"管理类联考数学知识点:二项式"的相关考研信息,希望对大家考研备考有所帮助! 备考过程中如有疑问,也可以添加老师微信juchuang911进行咨询。


免责声明:本网站发表的部分公开资料来源于互联网,目的在于传递更多信息及用于网络分享,并不代表本站赞同其观点和对其真实性负责。聚创考研网尊重版权,如有侵权问题,请及时联系(WX:juchuang911)

  • 24考研复试大纲及其流程解析

  • 【准大三】考研院校专业选择揭秘

  • 24考研调剂全流程解析

搜索不到想要的信息?联系在线客服或者添加微信咨询
取消
复制微信号