作者:聚创福大考研网-林老师 点击量:3007 2021-03-26
据悉,2021年福州大学经济与管理学院参加复试考生名单(非全日制)已公布,聚创福州大学考研网汇总信息如下:
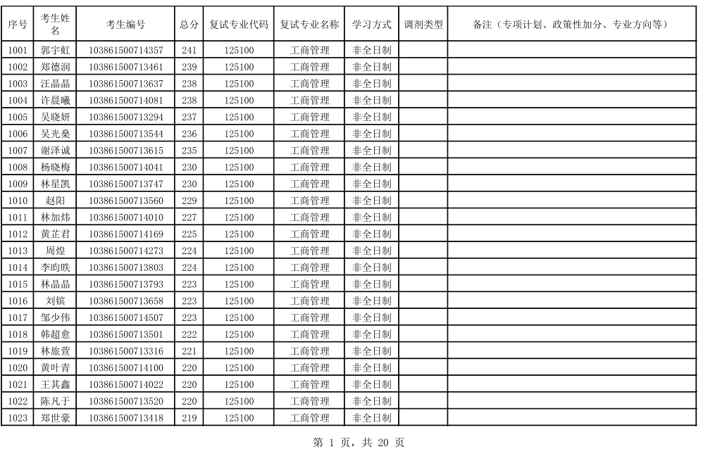
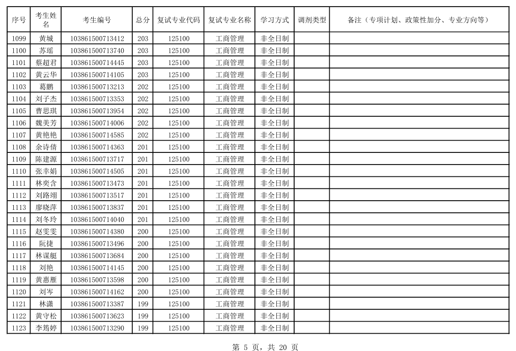
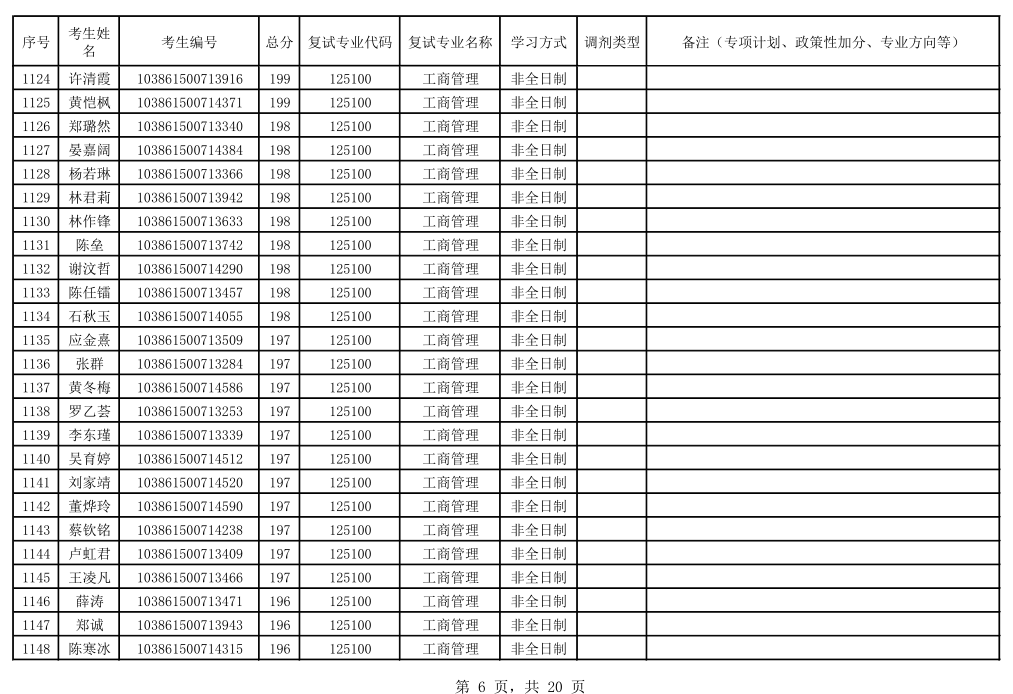
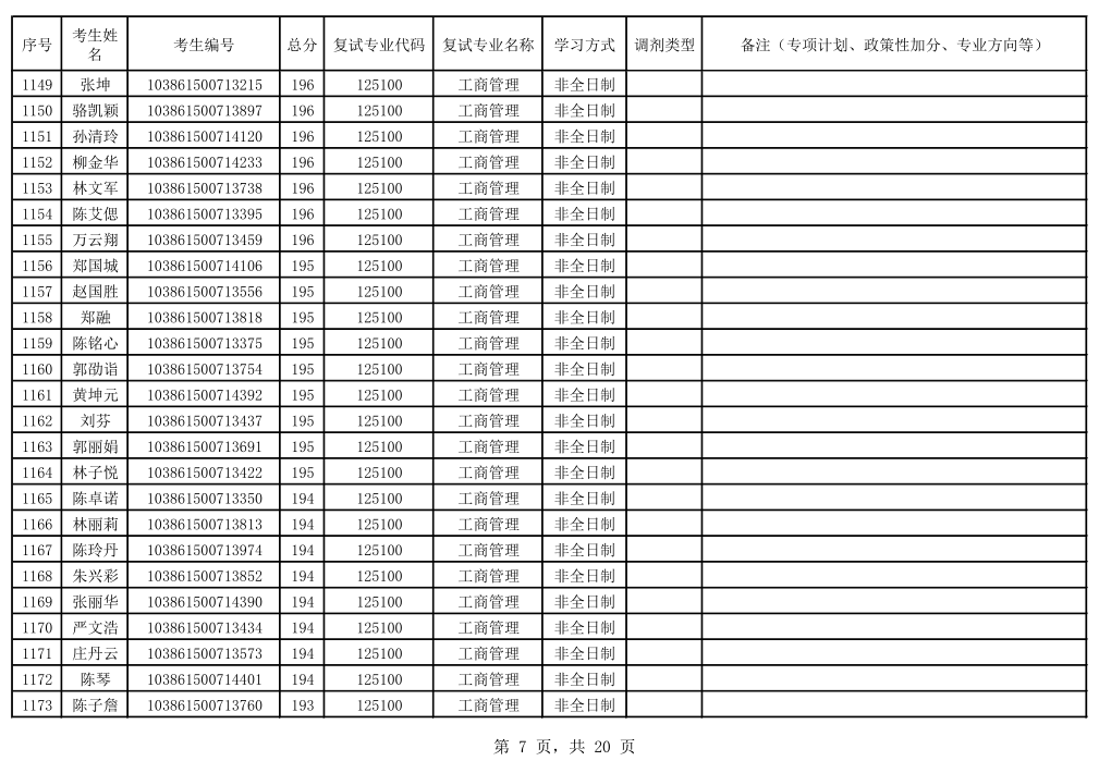
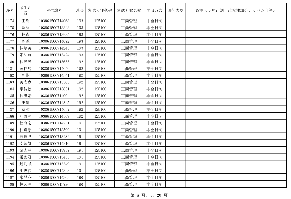
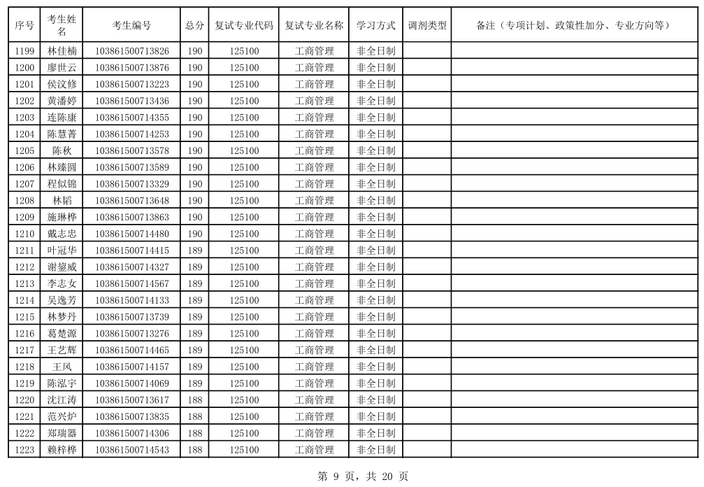
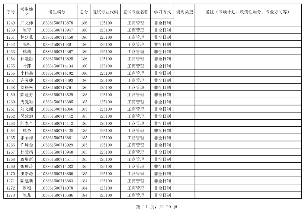
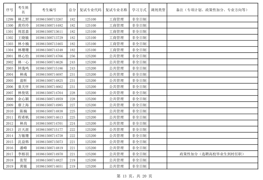
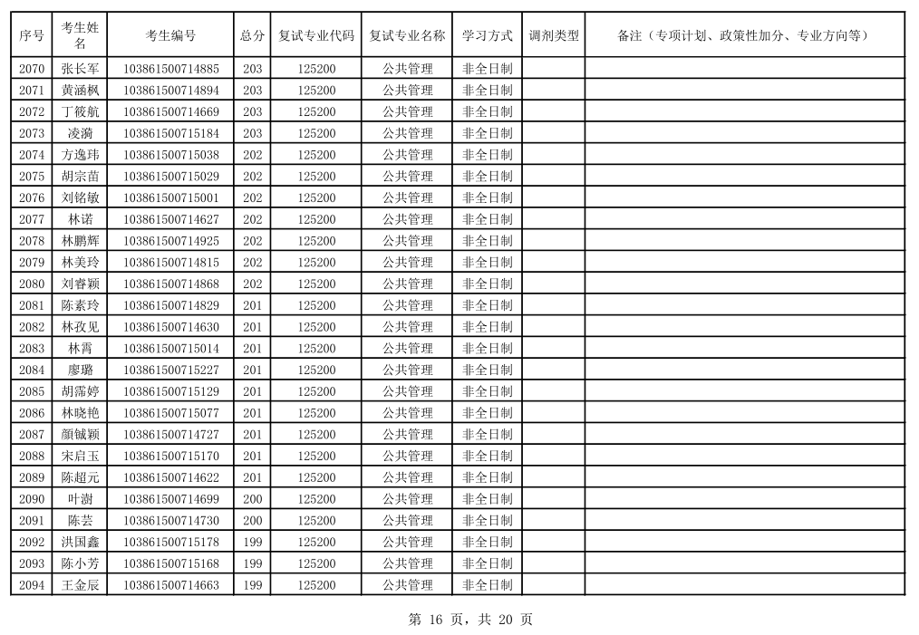
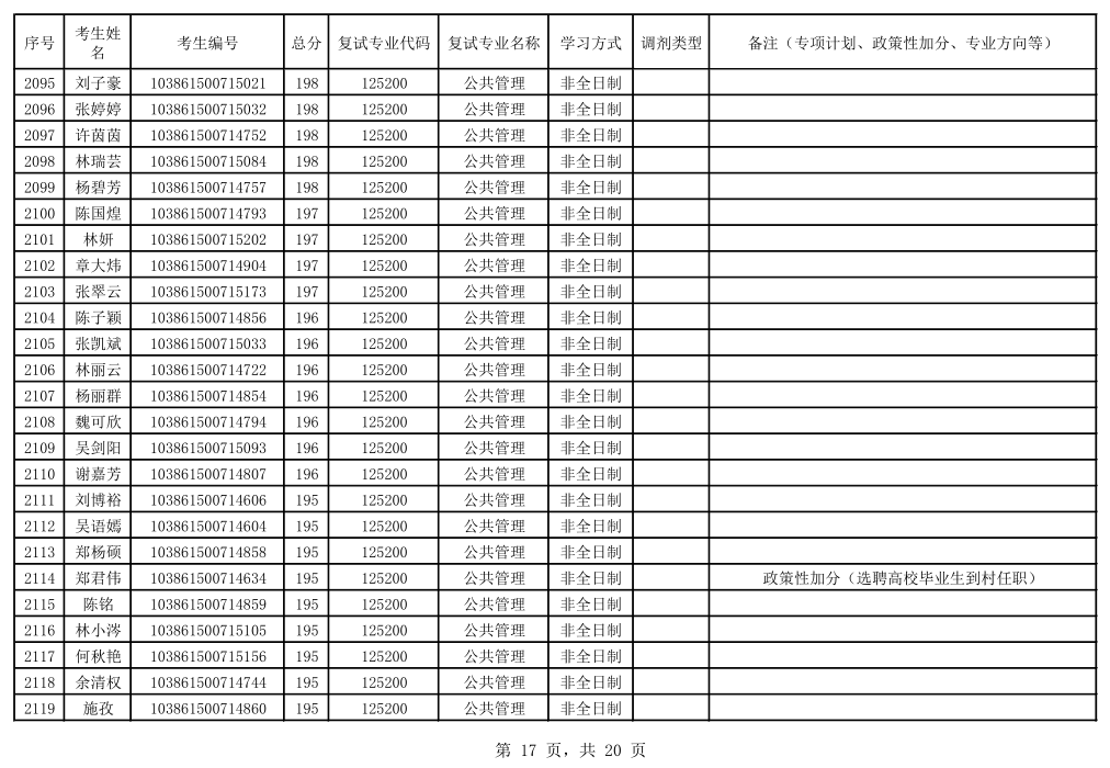
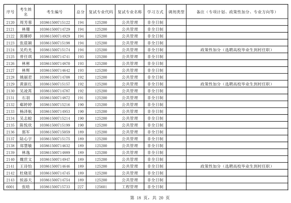
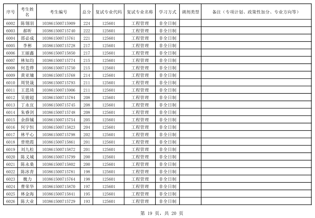
2021年福州大学经济与管理学院参加复试考生名单(非全日制)



















福州大学经济与管理学院
2021年3月26日
以上是聚创考研网为考生整理的"2021年福州大学经济与管理学院参加复试考生名单(非全日制)"的相关考研信息,希望对大家考研备考有所帮助! 备考过程中如有疑问,也可以添加老师微信juchuang911进行咨询。
免责声明:本网站发表的部分公开资料来源于互联网,目的在于传递更多信息及用于网络分享,并不代表本站赞同其观点和对其真实性负责。聚创考研网尊重版权,如有侵权问题,请及时联系(WX:juchuang911)