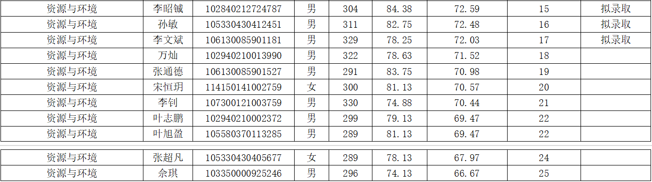
据悉,广州大学地理科学学院2020年硕士研究生复试结果公布表(第二批)已公布,聚创广州大学考研小编为大家整理内容如下:

以上是聚创考研网为考生整理的"广州大学地理科学学院2020年硕士研究生复试结果公布表(第二批)"的相关考研信息,希望对大家考研备考有所帮助!
备考过程中如有疑问,也可以添加老师微信juchuang911进行咨询。
免责声明:本网站发表的部分公开资料来源于互联网,目的在于传递更多信息及用于网络分享,并不代表本站赞同其观点和对其真实性负责。聚创考研网尊重版权,如有侵权问题,请及时联系(WX:juchuang911)