内容详情

西南大学柑桔研究所关于2020年硕士研究生第二批复试名单的公示(调剂考生)

作者:聚创西大考研网-李老师 点击量:2094 2020-05-26

据悉,西南大学柑桔研究所关于2020年硕士研究生第二批复试名单的公示(调剂考生)已公布,聚创西南大学考研信息网小编为大家整理如下:


经审核,现将拟参加我单位2020年硕士研究生第二批复试的考生基本信息、公示期限、受理单位意见公示如下:

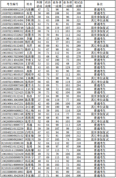
一、复试名单公示(含单科分数要求)

二、公示期限及受理意见单位

1、公示期限:2020年5月22日-6月4日

2、受理意见单位:柑桔研究所(部、所、中心)   受理电话:023-68349098


以上是聚创考研网为考生整理的"西南大学柑桔研究所关于2020年硕士研究生第二批复试名单的公示(调剂考生)"的相关考研信息,希望对大家考研备考有所帮助! 备考过程中如有疑问,也可以添加老师微信juchuang911进行咨询。


免责声明:本网站发表的部分公开资料来源于互联网,目的在于传递更多信息及用于网络分享,并不代表本站赞同其观点和对其真实性负责。聚创考研网尊重版权,如有侵权问题,请及时联系(WX:juchuang911)

  • 24考研复试大纲及其流程解析

  • 【准大三】考研院校专业选择揭秘

  • 24考研调剂全流程解析

搜索不到想要的信息?联系在线客服或者添加微信咨询
取消
复制微信号