作者:聚创电子科大考研网-小黑老师 点击量:2990 2019-04-20
据悉,电子科技大学2019年仪器仪表工程硕士入学考试复试成绩公示(第二批)已公布,聚创电子科技大学考研网为你整理如下内容:
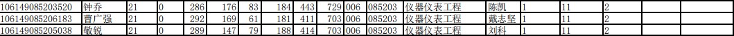
附件:电子科技大学2019年仪器仪表工程硕士入学考试复试成绩公示(第二批)
以上是聚创考研网为考生整理的"电子科技大学2019年仪器仪表工程硕士入学考试复试成绩公示(第二批)"的相关考研信息,希望对大家考研备考有所帮助! 备考过程中如有疑问,也可以添加老师微信juchuang911进行咨询。
免责声明:本网站发表的部分公开资料来源于互联网,目的在于传递更多信息及用于网络分享,并不代表本站赞同其观点和对其真实性负责。聚创考研网尊重版权,如有侵权问题,请及时联系(WX:juchuang911)