作者:聚创西大考研网-小黑老师 点击量:2191 2019-01-17
据悉,西南大学材料与能源学部2018年硕士研究生招生复试名单公示已公布,聚英聚创西南大学考研信息网小编为大家整理如下:
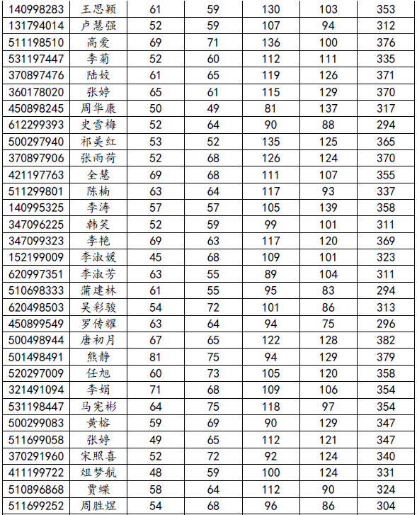
经审核,现将拟参加我单位2018年硕士研究生复试考生(不含推免生)的基本信息、公示期限、受理意见单位公示如下:
一、复试名单
(1)工学组


理学组




二、公示期限及受理意见单位
1.公示期限:2018年3月29日—4月8日
2.受理意见单位:材料与能源学部纪委
受理电话:023-68367036
西南大学材料与能源学部
2018年3月29日
以上是聚创考研网为考生整理的"西南大学材料与能源学部2018年硕士研究生招生复试名单公示"的相关考研信息,希望对大家考研备考有所帮助! 备考过程中如有疑问,也可以添加老师微信juchuang911进行咨询。
免责声明:本网站发表的部分公开资料来源于互联网,目的在于传递更多信息及用于网络分享,并不代表本站赞同其观点和对其真实性负责。聚创考研网尊重版权,如有侵权问题,请及时联系(WX:juchuang911)