内容详情

2017年全国硕士研究生入学统一考试数学二真题

作者:聚创考研网-小黑老师 点击量:3052 2016-12-26

  聚英考研信息网为大家整理了2017年考研数学一真题原文,详情如下:

 更多推荐:

  2017年考研英语一真题原文

  2017年考研英语一真题参考答案 

  2017年考研英语二真题原文 

  2017年考研英语二真题参考答案 

  2017年考研数学三真题原文

  2017年考研数学三真题参考答案

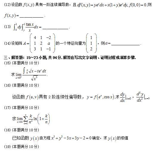
 2017考研数学二真题

2017考研数学二真题

 

 

2017考研数学二真题

2017考研数学二真题

2017考研数学二真题

2017考研数学二真题

2017考研数学二真题

 


以上是聚创考研网为考生整理的"2017年全国硕士研究生入学统一考试数学二真题"的相关考研信息,希望对大家考研备考有所帮助! 备考过程中如有疑问,也可以添加老师微信juchuang911进行咨询。


免责声明:本网站发表的部分公开资料来源于互联网,目的在于传递更多信息及用于网络分享,并不代表本站赞同其观点和对其真实性负责。聚创考研网尊重版权,如有侵权问题,请及时联系(WX:juchuang911)

  • 24考研复试大纲及其流程解析

  • 【准大三】考研院校专业选择揭秘

  • 24考研调剂全流程解析

搜索不到想要的信息?联系在线客服或者添加微信咨询
取消
复制微信号