内容详情

2024年考研数学:无穷小量最高阶Part.140

作者:聚创考研网-郑老师 点击量:632 2023-07-21

考研数学想要取得好成绩,最重要的是及时的消化吸收知识点,认真的对待每一道数学题。聚创考研网璐璐学姐希望能帮助你更深刻的理解数学这一门科目,踏实的复习考研数学。

Part.140

》》练习题










》》答案

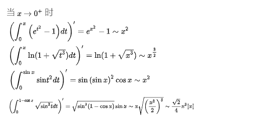
》》解析 






















以上是聚创考研网为考生整理的"2024年考研数学:无穷小量最高阶Part.140"的相关考研信息,希望对大家考研备考有所帮助! 备考过程中如有疑问,也可以添加老师微信juchuang911进行咨询。


免责声明:本网站发表的部分公开资料来源于互联网,目的在于传递更多信息及用于网络分享,并不代表本站赞同其观点和对其真实性负责。聚创考研网尊重版权,如有侵权问题,请及时联系(WX:juchuang911)

  • 24考研复试大纲及其流程解析

  • 【准大三】考研院校专业选择揭秘

  • 24考研调剂全流程解析

搜索不到想要的信息?联系在线客服或者添加微信咨询
取消
复制微信号