作者:聚创考研网-陈老师 点击量:835 2021-12-01
如果小伙伴们想考管理类专业的研究生,基本都要考管联。管理类联考是指管理类专业硕士研究生入学统一考试。这个科目想考高分,最重要的是及时的消化吸收知识点,认真的对待每一道题目。聚创考研网小编希望能帮助你更深刻的理解管理类联考这一门科目,踏实的复习管联。
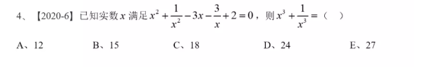
Part.233题目
》》练习题(答案详见文末)

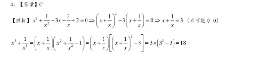
【答案】C
【解析】
以上是聚创考研网为考生整理的"2022年管理类考研:数学部分-求x的值.233"的相关考研信息,希望对大家考研备考有所帮助! 备考过程中如有疑问,也可以添加老师微信juchuang911进行咨询。
免责声明:本网站发表的部分公开资料来源于互联网,目的在于传递更多信息及用于网络分享,并不代表本站赞同其观点和对其真实性负责。聚创考研网尊重版权,如有侵权问题,请及时联系(WX:juchuang911)