内容详情

2022年管理类考研:数学部分-球的内壁面积Part.143

作者:聚创考研网-陈老师 点击量:1132 2021-08-02

如果小伙伴们想考管理类专业的研究生,基本都要考管联。管理类联考是指管理类专业硕士研究生入学统一考试。这个科目想考高分,最重要的是及时的消化吸收知识点,认真的对待每一道题目。聚创考研网小编希望能帮助你更深刻的理解管理类联考这一门科目,踏实的复习管联。

Part.142题

》》练习题(答案详见文末)


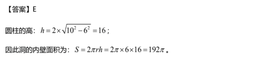
》》答案解析

相关推荐:

1、管理类联考综合能力:数学冲刺阶段复习指导

2、热门专业备考:管理类联考参考书书单!


以上是聚创考研网为考生整理的"2022年管理类考研:数学部分-球的内壁面积Part.143"的相关考研信息,希望对大家考研备考有所帮助! 备考过程中如有疑问,也可以添加老师微信juchuang911进行咨询。


免责声明:本网站发表的部分公开资料来源于互联网,目的在于传递更多信息及用于网络分享,并不代表本站赞同其观点和对其真实性负责。聚创考研网尊重版权,如有侵权问题,请及时联系(WX:juchuang911)

  • 24考研复试大纲及其流程解析

  • 【准大三】考研院校专业选择揭秘

  • 24考研调剂全流程解析

搜索不到想要的信息?联系在线客服或者添加微信咨询
取消
复制微信号