内容详情

2021年温州医科大学考研调剂信息

作者:聚创考研网-王老师 点击量:2457 2021-03-23

聚创考研收集2021年温州医科大学考研调剂信息

如果考生想咨询复试调剂班(不过全额退费)

可以咨询联系聚创晚玉老师(微信:juchuang911


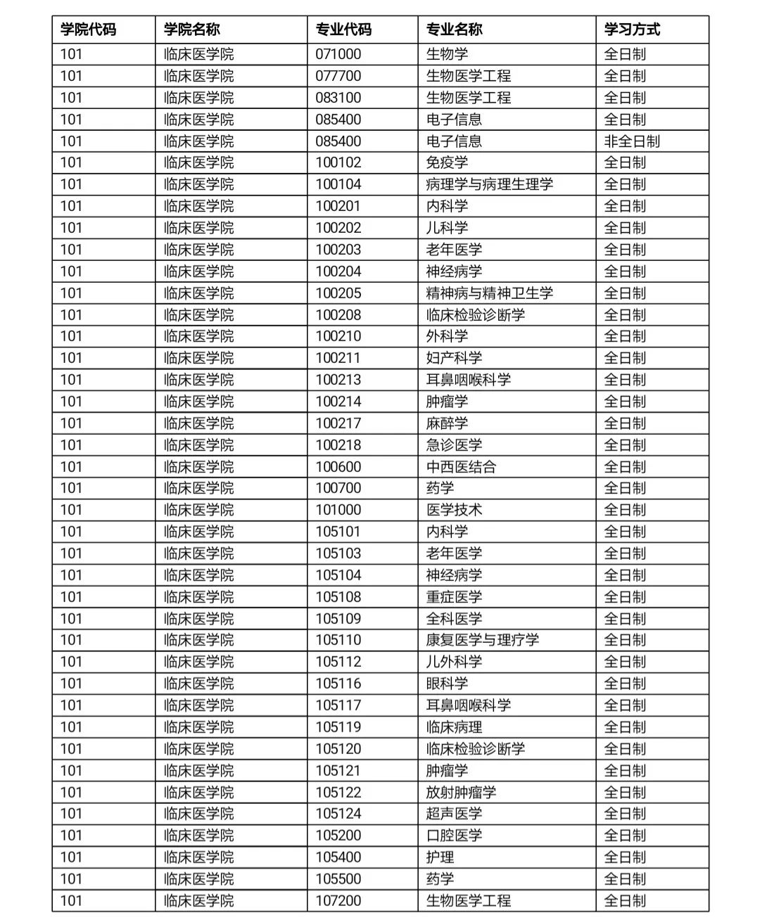
根据一志愿考生初试分数情况,我校部分专业有缺额,各专业具体接受调剂的人数待分专业计划和一志愿复试后确定,并在中国研究生招生信息网全国硕士生招生调剂服务系统正式更新并公布,欢迎广大考生调剂我校。目前明确有缺额的专业如下表。

 

 

 

如果想调剂,是否需要发送简历到研招办?

不需要,我校所有的调剂流程都将通过中国研究生招生信息网全国硕士生招生调剂服务系统,考生及时关注我校研究生院官网的相关通知并在规定时间内登录报名即可。

是否接受退役大学生士兵专项计划的考生调剂?

我校2021退役大学生士兵专项计划招收10人,符合调剂要求的考生届时可通过全国硕士生招生调剂服务系统进行报名。

复试前还需做哪些准备?可提前准备的资格审查材料有哪些?

请考生耐心等待我校的复试通知,调整心态,抓紧时间,认真复习,积极备考。考生可提前准备好学籍或学历学位证明、本科学习成绩单、初试准考证、个人陈述、学习计划及其他能反映自身研究能力和创新潜质等的相关材料,报考退役大学生士兵专项计划的考生

还应准备好本人《入伍批准书》和《退出现役证》。具体请等待我校复试通知。

如何与各学院进行联系?

研究生招生相关咨询方式详见下表。



以上是聚创考研网为考生整理的"2021年温州医科大学考研调剂信息"的相关考研信息,希望对大家考研备考有所帮助! 备考过程中如有疑问,也可以添加老师微信juchuang911进行咨询。


免责声明:本网站发表的部分公开资料来源于互联网,目的在于传递更多信息及用于网络分享,并不代表本站赞同其观点和对其真实性负责。聚创考研网尊重版权,如有侵权问题,请及时联系(WX:juchuang911)

  • 24考研复试大纲及其流程解析

  • 【准大三】考研院校专业选择揭秘

  • 24考研调剂全流程解析

搜索不到想要的信息?联系在线客服或者添加微信咨询
取消
复制微信号