作者:聚创考研网-林老师 点击量:3061 2020-04-08
如果小伙伴们想考管理类专业的研究生,基本都要考管联。管理类联考是指管理类专业硕士研究生入学统一考试。这个科目想考高分,最重要的是及时的消化吸收知识点,认真的对待每一道题目。聚创考研小编希望能帮助你更深刻的理解管理类联考这一门科目,踏实的复习管联。
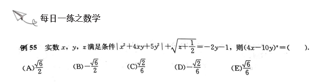
Part.13题目
》》练习题(答案详见文末)

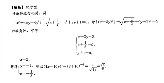
》》答案解析
》》特别提醒:
特别提醒:条件充分性判断题共有A、B、C、D、E五个固定的选项作为判断结果,阅读条件(1)和(2)后选择:
A:条件(1)充分,但条件(2)不充分;
B:条件(2)充分,但条件(1)不充分;
C:条件(1)和(2)单独都不充分,但条件(1)和条件(2)联合起来充分;
D:条件(1)充分,条件(2)也充分;
E:条件(1)和条件(2)单独都不充分,条件(1)和条件(2)联合起来也不充分。
推荐阅读:
以上是聚创考研网为考生整理的"2021年管理类考研:数学部分-配方型方程求解计算Part.13"的相关考研信息,希望对大家考研备考有所帮助! 备考过程中如有疑问,也可以添加老师微信juchuang911进行咨询。
免责声明:本网站发表的部分公开资料来源于互联网,目的在于传递更多信息及用于网络分享,并不代表本站赞同其观点和对其真实性负责。聚创考研网尊重版权,如有侵权问题,请及时联系(WX:juchuang911)