作者:聚创考研网-林老师 点击量:1314 2019-12-30
考研数学想考高分,最重要的是及时的消化吸收知识点,认真的对待每一道数学题。聚创考研小编希望能帮助你更深刻的理解数学这一门科目,踏实的复习考研数学。
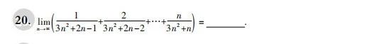
Part.4题目
》》练习题

》》答案解析


推荐阅读:
1、过来人经验:考研数学什么辅导书比较好?张宇和李永乐哪个好?
3、【汇总】2020考研数学复习公式大全——含高数、线性代数、概率
以上是聚创考研网为考生整理的"2021年考研数学:极限函数的连续性Part.4"的相关考研信息,希望对大家考研备考有所帮助! 备考过程中如有疑问,也可以添加老师微信juchuang911进行咨询。
免责声明:本网站发表的部分公开资料来源于互联网,目的在于传递更多信息及用于网络分享,并不代表本站赞同其观点和对其真实性负责。聚创考研网尊重版权,如有侵权问题,请及时联系(WX:juchuang911)