内容详情

2020年考研数学:偏导数和全微分的相关求解Part.203

作者:聚创考研网-林老师 点击量:1720 2019-11-18

考研数学想考高分,最重要的是及时的消化吸收知识点,认真的对待每一道数学题。聚创考研信息网小编希望能帮助你更深刻的理解数学这一门科目,踏实的复习考研数学。


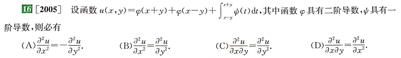
Part.203题目

》》练习题



》》答案解析

》》笔记整理

关于偏导数的求法,其实只要掌握了一元里面的求导公式,利用好链式求导法则,做题时仔细一点,这类题目就没有什么难的了,属于送分题哦。

推荐阅读:

1、过来人经验:考研数学什么辅导书比较好?张宇和李永乐哪个好?

2、【汇总】2020考研数学题库

3、【汇总】2020考研数学复习公式大全——含高数、线性代数、概率


以上是聚创考研网为考生整理的"2020年考研数学:偏导数和全微分的相关求解Part.203"的相关考研信息,希望对大家考研备考有所帮助! 备考过程中如有疑问,也可以添加老师微信juchuang911进行咨询。


免责声明:本网站发表的部分公开资料来源于互联网,目的在于传递更多信息及用于网络分享,并不代表本站赞同其观点和对其真实性负责。聚创考研网尊重版权,如有侵权问题,请及时联系(WX:juchuang911)

  • 24考研复试大纲及其流程解析

  • 【准大三】考研院校专业选择揭秘

  • 24考研调剂全流程解析

搜索不到想要的信息?联系在线客服或者添加微信咨询
取消
复制微信号