作者:聚创考研网-林老师 点击量:1641 2019-11-14
考研数学想考高分,最重要的是及时的消化吸收知识点,认真的对待每一道数学题。聚创考研信息网小编希望能帮助你更深刻的理解数学这一门科目,踏实的复习考研数学。

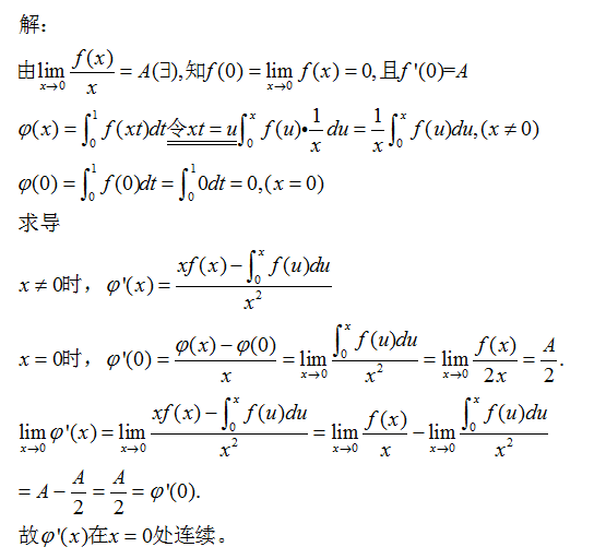
Part.200题目
》》练习题
》》答案解析
》》笔记整理
1.函数连续则极限值等于函数值;极限值等于函数值,则函数连续。
2.极限若存在,分母为零时分子也为零。
3.做题时要学会使用凑导数定义的方法。
4.注意换元时上下限也需要换。
5.在求函数时不要漏掉x=0的情况,此处的细节容易丢分。
6.分段函数的导函数一般也是分段函数。
7.还有一个容易犯错的点,函数值为0的点,导数值不一定为0,因为一个点处的导数不仅跟这个点本身有关,也与这个点周围的点有关。
推荐阅读:
1、过来人经验:考研数学什么辅导书比较好?张宇和李永乐哪个好?
3、【汇总】2020考研数学复习公式大全——含高数、线性代数、概率
以上是聚创考研网为考生整理的"2020年考研数学:函数的连续性问题Part.200"的相关考研信息,希望对大家考研备考有所帮助! 备考过程中如有疑问,也可以添加老师微信juchuang911进行咨询。
免责声明:本网站发表的部分公开资料来源于互联网,目的在于传递更多信息及用于网络分享,并不代表本站赞同其观点和对其真实性负责。聚创考研网尊重版权,如有侵权问题,请及时联系(WX:juchuang911)