内容详情

2020年考研数学:关于二重积分的简单计算Part.38

作者:聚创考研网-小黑老师 点击量:2613 2019-04-01

    考研数学想考高分,最重要的是及时的消化吸收知识点,认真的对待每一道数学题。聚创考研信息网小编希望能帮助你更深刻的理解数学这一门科目,踏实的复习考研数学。

    Part.38题目

 》》练习题

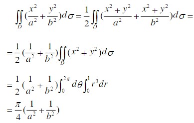
》》答案解析


还在为数学是软肋而苦恼?

你可知

你的对手却已悄悄报班,复习进度甩你几条街了

聚创2020考研数学全程班

名师为你解答

追上对手,甚至反超都有可能哦~

具体详情点击下方图片了解

    推荐阅读:

    1、过来人经验:考研数学什么辅导书比较好?张宇和李永乐哪个好?

    2、2020年考研数学:根据参数的不同取值情况确定方程组解的个数Part.37

    3、【汇总】2020考研数学题库


以上是聚创考研网为考生整理的"2020年考研数学:关于二重积分的简单计算Part.38"的相关考研信息,希望对大家考研备考有所帮助! 备考过程中如有疑问,也可以添加老师微信juchuang911进行咨询。


免责声明:本网站发表的部分公开资料来源于互联网,目的在于传递更多信息及用于网络分享,并不代表本站赞同其观点和对其真实性负责。聚创考研网尊重版权,如有侵权问题,请及时联系(WX:juchuang911)

  • 24考研复试大纲及其流程解析

  • 【准大三】考研院校专业选择揭秘

  • 24考研调剂全流程解析

搜索不到想要的信息?联系在线客服或者添加微信咨询
取消
复制微信号