作者:聚创考研网-赖老师 点击量:2883 2019-02-21
Part.6题目
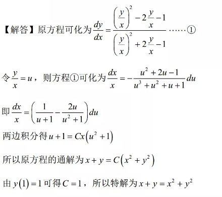
题目解析

还在为数学是软肋而苦恼?
你可知
你的对手却已悄悄报班,复习进度甩你几条街了
聚英聚创2020考研数学全程班
让名师为你解答
追上对手,甚至反超都有可能哦~
具体详情点击下方图片了解
推荐阅读:1、过来人经验:考研数学什么辅导书比较好?张宇和李永乐哪个好?
以上是聚创考研网为考生整理的"2020考研数学:求微分方程初值的解Part.6"的相关考研信息,希望对大家考研备考有所帮助! 备考过程中如有疑问,也可以添加老师微信juchuang911进行咨询。
免责声明:本网站发表的部分公开资料来源于互联网,目的在于传递更多信息及用于网络分享,并不代表本站赞同其观点和对其真实性负责。聚创考研网尊重版权,如有侵权问题,请及时联系(WX:juchuang911)