内容详情

2019管联数学:最值问题的解题技巧之代数式的最值

作者:聚创考研网-小黑老师 点击量:11897 2018-11-22

数学中最值问题,有一定难度,但只要我们去认真的分析,仔细地思考,不管问题再难,其实万变不离其宗,总离不开所学过的知识点和基本方法。本文将通过解题方法、知识点分析、真题再现来帮助大家解析代数式最值问题这一考点内容。

 

代数式的最值问题

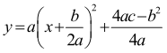
 解题方法: 一元二次函数最值法、均值不等式法、配方法(a±f(x)²

 

注:一元二次配方法,如果有前提条件,注意前提条件下取得的范围

 

 真题再现:

例题12008-01):f(x)有最小值 2( ).

 

例题22007-10):一元二次函数x1-x)的最大值为( ).

A. 0.05 

B. 0.10 

C. 0.15

D. 0.20 

E. 0.25 

 

例题32012-10):设实数x ,y满足x+2y=3,则x²+y²+2y的最小值为()

A.4 

B.5 

C.6 

D.√5-1

E.√5+1

 

例题42013-01):已知 ab 为实数。则|a|≤1|b|≤1().

(1) |a+b|≤1

(2) |a-b|≤1

令人头疼的最值问题,你都弄懂了吗?上面的例题的参考答案为:1.B 2.E 3.A 4.C


  管联复习没有头绪?想要提升自己的实力?那就快来围观聚英聚创考研信息网的管联课程哦,20考研管联全程班不仅有200课时的名师视频讲解,还有配套的讲义和礼品,课程包含导学、基础及强化等,根据最新大纲,实行全年更新的模式,单课时低至3元!更多优惠内容大家可点击以下图片了解详情。


以上是聚创考研网为考生整理的"2019管联数学:最值问题的解题技巧之代数式的最值"的相关考研信息,希望对大家考研备考有所帮助! 备考过程中如有疑问,也可以添加老师微信juchuang911进行咨询。


免责声明:本网站发表的部分公开资料来源于互联网,目的在于传递更多信息及用于网络分享,并不代表本站赞同其观点和对其真实性负责。聚创考研网尊重版权,如有侵权问题,请及时联系(WX:juchuang911)

  • 24考研复试大纲及其流程解析

  • 【准大三】考研院校专业选择揭秘

  • 24考研调剂全流程解析

搜索不到想要的信息?联系在线客服或者添加微信咨询
取消
复制微信号