内容详情

每日一做:已知函数f(x)在其定义域内连续,求a=b的值Part.124

作者:聚创考研网-小黑老师 点击量:2809 2018-11-14

    考研数学想考高分,最重要的是及时的消化吸收知识点,认真的对待每一道数学题。聚英聚创考研信息网小编希望能帮助你更深刻的理解数学这一门科目,踏实的复习考研数学。

    Part.124题目



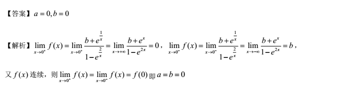
    题目解析

还在为数学是软肋而苦恼?

你可知

你的对手却已悄悄报班,复习进度甩你几条街了

聚英聚创2020考研数学全程班

名师为你解答

追上对手,甚至反超都有可能哦~

具体详情点击下方图片了解

    推荐阅读:
    1、【第八十五期答疑】2020考研:国际商务专硕,有哪些211院校呢?
    2、每日一做:函数g(x)可微,在某条件下,求g(1)的值Part.123


以上是聚创考研网为考生整理的"每日一做:已知函数f(x)在其定义域内连续,求a=b的值Part.124"的相关考研信息,希望对大家考研备考有所帮助! 备考过程中如有疑问,也可以添加老师微信juchuang911进行咨询。


免责声明:本网站发表的部分公开资料来源于互联网,目的在于传递更多信息及用于网络分享,并不代表本站赞同其观点和对其真实性负责。聚创考研网尊重版权,如有侵权问题,请及时联系(WX:juchuang911)

  • 24考研复试大纲及其流程解析

  • 【准大三】考研院校专业选择揭秘

  • 24考研调剂全流程解析

搜索不到想要的信息?联系在线客服或者添加微信咨询
取消
复制微信号