作者:聚创考研网-小黑老师 点击量:2408 2018-10-11
Part.98题目
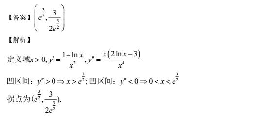
题目解析

短期提分不是目的
让自己考研成功,这才叫做意义
聚英的刷题班,现在终于飞到你手里~~
珍惜我们,只有学霸才能拥有!
推荐阅读:以上是聚创考研网为考生整理的"每日一做:求函数y的拐点Part.98"的相关考研信息,希望对大家考研备考有所帮助! 备考过程中如有疑问,也可以添加老师微信juchuang911进行咨询。
免责声明:本网站发表的部分公开资料来源于互联网,目的在于传递更多信息及用于网络分享,并不代表本站赞同其观点和对其真实性负责。聚创考研网尊重版权,如有侵权问题,请及时联系(WX:juchuang911)