作者:聚创考研网-小黑老师 点击量:3839 2018-09-18
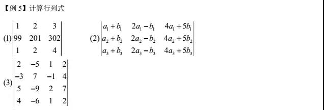
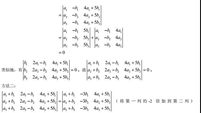
Part.84题目




考研数学冲刺班解题技巧
给你短期提分!
结合新大纲+精选考题+专项训练
给你提高解题准确度、效率的机会
最后一波数学冲刺,今年能不能考上就看你的了!
推荐阅读:以上是聚创考研网为考生整理的"每日一做:考研线代三阶、四阶行列式简化计算Part.84"的相关考研信息,希望对大家考研备考有所帮助! 备考过程中如有疑问,也可以添加老师微信juchuang911进行咨询。
免责声明:本网站发表的部分公开资料来源于互联网,目的在于传递更多信息及用于网络分享,并不代表本站赞同其观点和对其真实性负责。聚创考研网尊重版权,如有侵权问题,请及时联系(WX:juchuang911)