内容详情

每日一做:考研高数求极限问题Part.80

作者:聚创考研网-小黑老师 点击量:3732 2018-09-11

    考研数学想考高分,最重要的是及时的消化吸收知识点,认真的对待每一道数学题。聚英考研信息网小编希望能帮助你更深刻的理解数学这一门科目,踏实的复习考研数学。

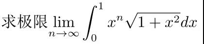
    Part.80题目





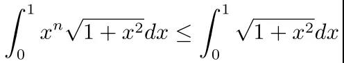
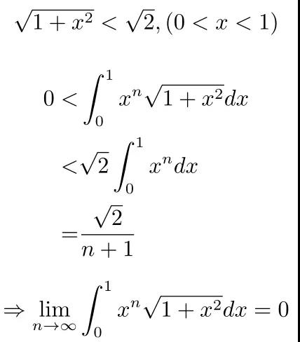
    题目解析

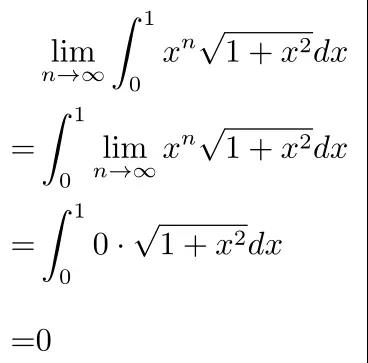
    这道题到这儿也就可以结束了,但是别慌,可否这样做呢?

    实际上是可以的,但这里用到了一个定理——控制收敛定理,用在这个题上意思就是:

    而等式右端是收敛的,所以等式左端收敛。这样就可以把极限拿到积分里边儿,得到所要的结果。

线代高数概率学的一脸懵逼?

考研数学公式深奥,难以理解?

不知道重难点,无法入手复习?

聚英小姐姐隆重给你介绍:

2019考研数学强化班

104个课时覆盖全年+讲义+十年真题等大礼包

大家都报名了,你还不赶紧下手!

    推荐阅读:
    1、【第三十九期答疑】学习环境太吵,影响复习应该怎么办?
    2、每日一做:在[π/2,-π/2]区间的积分求解计算Part.79


以上是聚创考研网为考生整理的"每日一做:考研高数求极限问题Part.80"的相关考研信息,希望对大家考研备考有所帮助! 备考过程中如有疑问,也可以添加老师微信juchuang911进行咨询。


免责声明:本网站发表的部分公开资料来源于互联网,目的在于传递更多信息及用于网络分享,并不代表本站赞同其观点和对其真实性负责。聚创考研网尊重版权,如有侵权问题,请及时联系(WX:juchuang911)

  • 24考研复试大纲及其流程解析

  • 【准大三】考研院校专业选择揭秘

  • 24考研调剂全流程解析

搜索不到想要的信息?联系在线客服或者添加微信咨询
取消
复制微信号