作者:聚创考研网-小黑老师 点击量:3655 2018-07-28
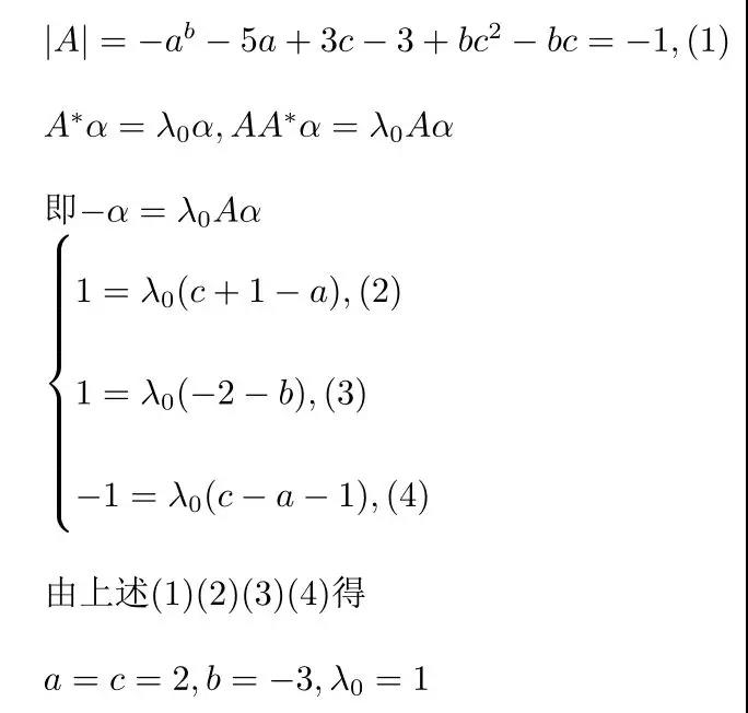
Part.50题目

线代、高数、概率学的一脸懵逼?
考研数学公式深奥,难以理解?
不知道重难点,无法入手复习?
聚英小姐姐隆重给你介绍:
全年235课时+讲义+十年真题等大礼包
大家都报名了,你还不赶紧下手!
推荐阅读:以上是聚创考研网为考生整理的"每日一做:考研高等数学矩阵的问题详细解答Part.50"的相关考研信息,希望对大家考研备考有所帮助! 备考过程中如有疑问,也可以添加老师微信juchuang911进行咨询。
免责声明:本网站发表的部分公开资料来源于互联网,目的在于传递更多信息及用于网络分享,并不代表本站赞同其观点和对其真实性负责。聚创考研网尊重版权,如有侵权问题,请及时联系(WX:juchuang911)