内容详情

考研数学导数中最难的部分:高阶导数(解法+公式+例题)

作者:聚创考研网-小黑老师 点击量:21170 2020-06-07

一阶导数的导数称为二阶导数,二阶以上的导数可由归纳法逐阶定义,而二阶和二阶以上的导数统称为高阶导数。在考研数学的导数章节中,最难的部分就是高阶导数了,因此聚英考研信息网小编有必要研究高阶导数特别是任意阶导数的解题技巧和方法,配合例题解析,让你通吃高阶导数!

 

问题

1、考研数学中高阶导数有几种求法?

2、考研数学高阶导数中有什么常见公式需要特别记住?

 

解答:

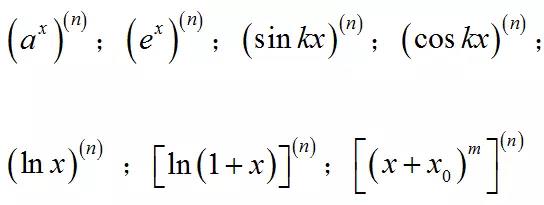
首先,先来记一记公式:

再来记一个公式,这个公式叫做莱布尼茨公式,遇到乘法的高阶导数将会非常实用:

以上就是高阶导数的第一种方法:公式法

 

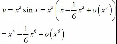
高阶高数的第二种方法:抽象展开法对于一个无穷阶可导的函数y=f(x),把所求函数展开成泰勒公式或者是麦克劳林公式,对比系数,即可得出函数在某点的导数。

例题:

第一步:抽象展开:

第二步:真实展开:

第三步:比较系数:

第四步:得出答案:

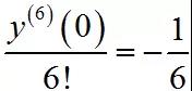
思考题:

答案:

2021考研政治基础通关班

去年押题大神郑伟、高月强强联手

直播授课+专属讲义

支持回放,现仅售39.9元

点击图片进入详情页购买

2021考研政治基础通关班


推荐阅读:

1过来人经验:考研数学什么辅导书比较好?张宇和李永乐哪个好?

2数学底子较差,复习进度比别人慢,还强行被比较,该怎么办?


以上是聚创考研网为考生整理的"考研数学导数中最难的部分:高阶导数(解法+公式+例题)"的相关考研信息,希望对大家考研备考有所帮助! 备考过程中如有疑问,也可以添加老师微信juchuang911进行咨询。


免责声明:本网站发表的部分公开资料来源于互联网,目的在于传递更多信息及用于网络分享,并不代表本站赞同其观点和对其真实性负责。聚创考研网尊重版权,如有侵权问题,请及时联系(WX:juchuang911)

  • 24考研复试大纲及其流程解析

  • 【准大三】考研院校专业选择揭秘

  • 24考研调剂全流程解析

搜索不到想要的信息?联系在线客服或者添加微信咨询
取消
复制微信号