作者:聚创考研网-小黑老师 点击量:3249 2018-07-03


聚英暑期魔鬼集训营招生倒计时7天!
集训营的宿舍和座位已经在安排中,且
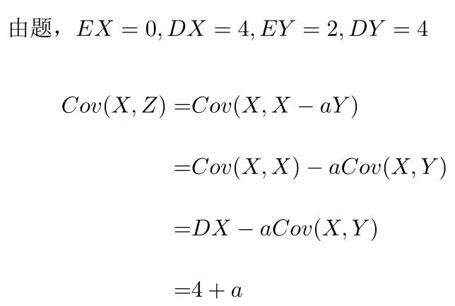
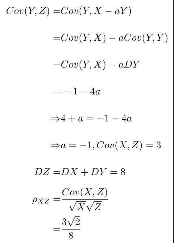
以上是聚创考研网为考生整理的"每日一做:求X和Z的相关系数pxz是多少Part.29"的相关考研信息,希望对大家考研备考有所帮助! 备考过程中如有疑问,也可以添加老师微信juchuang911进行咨询。
免责声明:本网站发表的部分公开资料来源于互联网,目的在于传递更多信息及用于网络分享,并不代表本站赞同其观点和对其真实性负责。聚创考研网尊重版权,如有侵权问题,请及时联系(WX:juchuang911)