内容详情

考点解析|一元函数积分学10道重点例题解析!

作者:聚创考研网-小黑老师 点击量:4472 2018-06-21

积分学是考研数学中的核心运算,也是考研数学考查的重中之重。在每年的考研数学考试中,直接设计到积分学的知识所占分值平均在15分左右,是出现频率很高的考点。

 

一元函数积分学的主要知识点有:原函数与不定积分的概念,不定积分的计算,定积分的定义与性质,微积分基本定理,定积分的计算,广义积分,定积分的应用。

 

在学习一元函数积分学的知识时,首先要熟练掌握各种函数不定积分的计算方法,这一部分需要考生进行大量的练习积累。为此,聚英考研信息网小编特别整理了考研数学考点一元函数积分学的10道重点例题解析,希望各位考生能够熟练运用积分学公式,并自行计算。

 

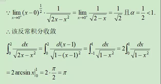
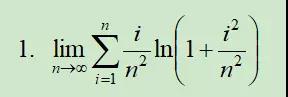
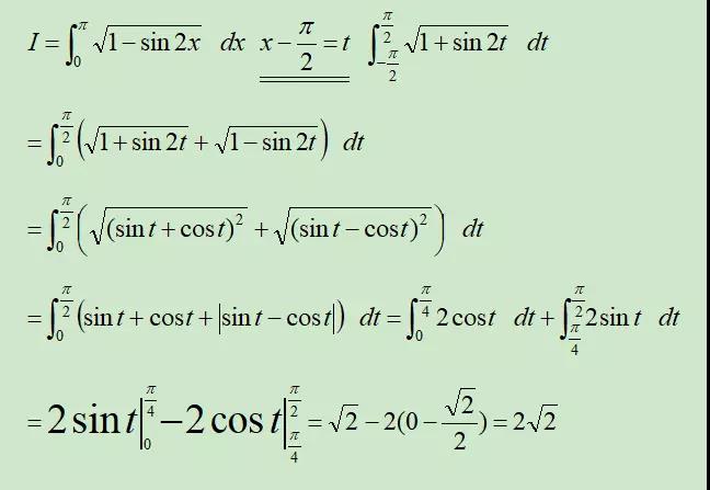
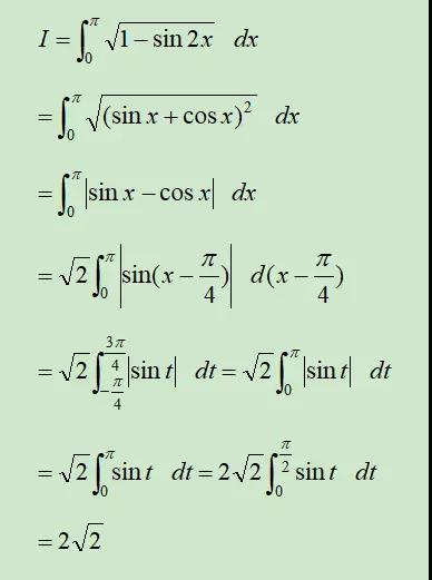
1、题目

解法:

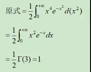
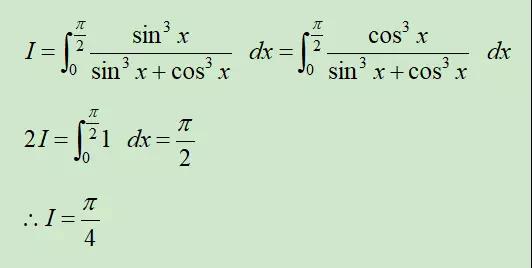
2、题目

解法:

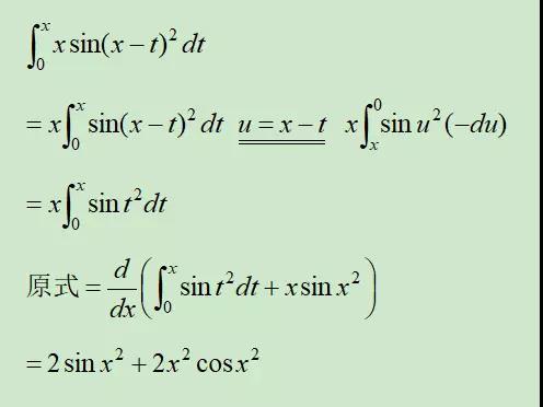
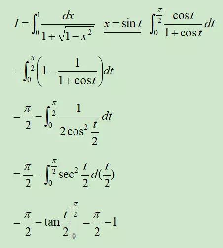
3、题目

解法一:

解法二:

4、题目

解法:

5、题目

解法:

6、题目

解法:

7、题目

解法:

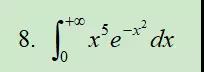
8、题目

解法:

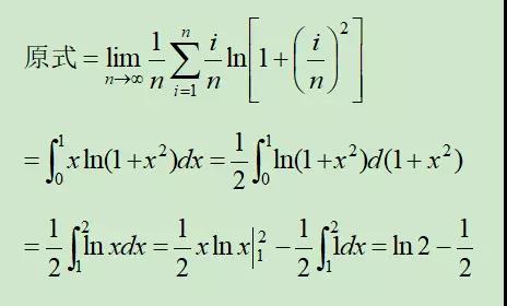
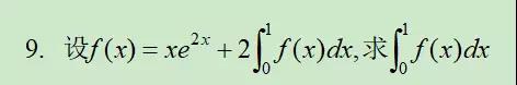
9、题目

解法:

10、题目

解法:

所有考生都知道,得暑假者得考研,能不能和其他考生拉开距离,暑假的规划起到决定性的作用。

聚英暑期魔鬼集训营不仅有公共课,还有专业课针对性辅导。全程督学、高三式学习、军事化管理,硬件设施完善、空调水果热水器一应俱全、导师考研阅卷经验丰富、考研信息资料齐全、答疑解惑,强化辅导。

聚英暑期魔鬼训练营 


推荐阅读:

1关于隐函数求偏导的重要思路|考研数学独家学习方法

22019考研数学:洛必达法则神器,也有不可用的时候


以上是聚创考研网为考生整理的"考点解析|一元函数积分学10道重点例题解析!"的相关考研信息,希望对大家考研备考有所帮助! 备考过程中如有疑问,也可以添加老师微信juchuang911进行咨询。


免责声明:本网站发表的部分公开资料来源于互联网,目的在于传递更多信息及用于网络分享,并不代表本站赞同其观点和对其真实性负责。聚创考研网尊重版权,如有侵权问题,请及时联系(WX:juchuang911)

  • 24考研复试大纲及其流程解析

  • 【准大三】考研院校专业选择揭秘

  • 24考研调剂全流程解析

搜索不到想要的信息?联系在线客服或者添加微信咨询
取消
复制微信号