内容详情

2019考研数学:洛必达法则神器,也有不可用的时候

作者:聚创考研网-小黑老师 点击量:13748 2018-06-06

    这个世界并不完美,纵使洛必达法则这样的神器,也有它用不了的时候,今天聚英考研信息网小编和你聊一聊关于考研数学中常会用的洛必达法则。
    洛必达法则第一步,其实是判断未定式类型,只有0/0或者是∞/∞(只需满足*/∞即可)才能使用,而在实际的操作中,大部分学生都不验证,看到分式就直接洛必达,这是很冲动的,如果不是未定式,那么洛必达是绝对不能用的。

    前面的文章《关注自变量趋向,学会辨别趋向陷阱》中说过,看到一道极限,一定要对自变量的趋向有一定的敏感度,比如这道题,由于x趋向的不同,它根本就不是一个未定式,所以洛必达的条件它就不成立,又谈何使用呢?
    说到这,有一点一定要引起你重视,那就是求一次导,你一定要再次验证一下是不是未定式,出题老头很坏的,经常出那种求一次导就不是未定式的情况,这种坑跳了多可惜啊。

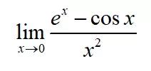
    判断完了未定式类型之后,下一步就是看看洛必达的内容了,洛必达法则的学术性表达我在这里不再赘述,但我想强调一点:是因为洛必达之后的导数存在,所以才说原极限等于洛必达极限,换句话说,如果洛完了发现导数不存在,那么洛必达法则就立刻失去价值。比如下面这道例题:

    无穷比无穷没问题,但是用完了洛必达之后,极限不存在,那么立即推:洛必达失效!那么这道题怎么做?“能不能拆,先拆再说。”拆完发现,一个是1,一个是0,两个极限都存在,因此可拆,答案就是1.
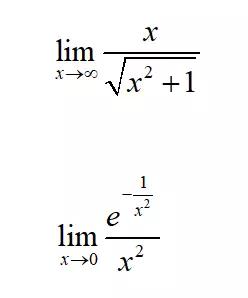
    好了,这个是洛必达法则的底层逻辑出了问题,那么有没有逻辑没问题,但是就是用不了的情况呢?当然有了,看看这两道题:

    虽然很想给出具体过程,但是为了让你有一个“柳暗花明又一村”的感觉,聚英小编还是决定不放出过程,有兴趣的话可以自己尝试一下,你会发现第一个题很神奇,它是一个循环型分式,求导求着求着就求回去了,而第二个呢?更神奇,越求次数越高,洛必达见到这种题目根本无计可施。这种情况,就是洛必达的逻辑没问题,但你就是用不了。
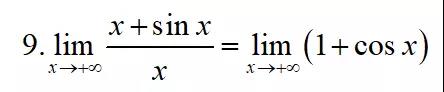
    当然还有一种,就是洛必达可用,但是非常麻烦,比如下面这个题目:

    有兴趣拿洛必达做一做,可能人家用泰勒的一分钟做出来的题,到你这就洛个不停,结果还特别容易错。

    最后一种情况,就是抽象函数,抽象函数因为不知道连续性和可导性,因此使用洛必达的时候一定要慎重,题目没给连续可导条件,那就最好不要用洛必达。


点击下图加入【2019考研暑期魔鬼特训营】

具有研命题和阅卷经历的北京名师

讲解考研的重点、难点和考点!

聚英考研网校暑期魔鬼特训营


    推荐阅读:
    1、暑期前+暑期中的复习方法(附真题下载)下篇
    2、强推!你不知道的2019考研数学一二三重难点汇总(下篇)

以上是聚创考研网为考生整理的"2019考研数学:洛必达法则神器,也有不可用的时候"的相关考研信息,希望对大家考研备考有所帮助! 备考过程中如有疑问,也可以添加老师微信juchuang911进行咨询。


免责声明:本网站发表的部分公开资料来源于互联网,目的在于传递更多信息及用于网络分享,并不代表本站赞同其观点和对其真实性负责。聚创考研网尊重版权,如有侵权问题,请及时联系(WX:juchuang911)

  • 24考研复试大纲及其流程解析

  • 【准大三】考研院校专业选择揭秘

  • 24考研调剂全流程解析

搜索不到想要的信息?联系在线客服或者添加微信咨询
取消
复制微信号