内容详情

2019考研数学:关注自变量趋向,学会辨别趋向陷阱

作者:聚创考研网-小黑老师 点击量:4862 2018-05-30

在考研数学的求极限问题中,有时候趋向是有陷阱的,要学会辨别这个陷阱的最好方式就是关注自变量的趋向,才能避开考研高等数学中的坑,如以下聚英考研信息网小编举出的两个例题。

考研数学例题1:

有的同学一看,哇,两个重要极限,立即推1,可是,人家两个重要极限里面可是x趋于0,再仔细看看本题是什么?x趋于无穷,所以还是两个重要极限吗?不是了吧。

 

本题正确的做法是什么呢?很简单,把它拆成两个部分来看,1/x乘以sinx,那好,1/xx趋于无穷时候是无穷小,而sinx是一个有界变量,无穷小乘以有界变量,答案当然是无穷小了,因此本题正确结果是0。你看,自变量趋向不一样,就连计算方法也有所不同,是不是觉得大开眼界?


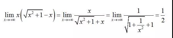
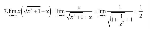
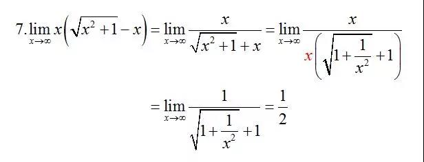
考研数学例题2:

怎么样,解题过程是不是很完美,但是步骤一细化,问题就很明显了。

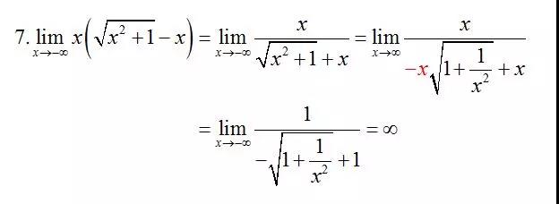
看标红的变量x,实际上解题过程是通过分子分母提出一个x约掉来处理的,但是,从根号里面拿出来的东西,能随随便便就写吗?当然不能,得看x的取值范围,如果大于0直接拿出,如果小于0呢?凉了吧,你就不能随便拿出来了。而本题呢,x是趋于无穷的,这也就是说,既可能是正无穷,也可能是负无穷,那好了,遇到这种情况,就只能分类讨论一波了~

 

首先是x趋于正无穷,这个解题过程没有问题:

x趋于负无穷呢?

怎么样,出现问题了吧,当x趋于负无穷的时候,这个极限不存在,因此整体极限不存在。

 

在考研数学极限问题中,总是有很多的坑,如何完美的避开这些数学大坑?点击下图,让简老师教你秒杀高数极限!

聚英考研网校简彩仁高数极限学习技巧

推荐阅读:

1每日一做:判断左右导数是否存在Part.3

2强推!你不知道的2019考研数学一二三重难点汇总(上篇)


以上是聚创考研网为考生整理的"2019考研数学:关注自变量趋向,学会辨别趋向陷阱"的相关考研信息,希望对大家考研备考有所帮助! 备考过程中如有疑问,也可以添加老师微信juchuang911进行咨询。


免责声明:本网站发表的部分公开资料来源于互联网,目的在于传递更多信息及用于网络分享,并不代表本站赞同其观点和对其真实性负责。聚创考研网尊重版权,如有侵权问题,请及时联系(WX:juchuang911)

  • 24考研复试大纲及其流程解析

  • 【准大三】考研院校专业选择揭秘

  • 24考研调剂全流程解析

搜索不到想要的信息?联系在线客服或者添加微信咨询
取消
复制微信号