内容详情

考研数学:曲线积分与曲面积分复习提纲

作者:聚创考研网-小黑老师 点击量:1732 2017-03-18

  聚英考研信息网为大家提供曲线积分与曲面积分复习提纲。部分内容如下:

  第一部分 曲线积分

  一、计算曲线质量的积分——对弧长的曲线积分(第一类曲线积分)

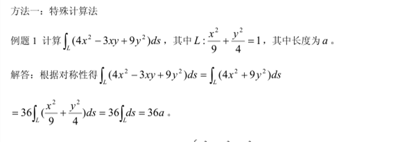
  方法一:特殊计算法

  方法二:定积分法

 

      完整版请下载附件查看:


以上是聚创考研网为考生整理的"考研数学:曲线积分与曲面积分复习提纲"的相关考研信息,希望对大家考研备考有所帮助! 备考过程中如有疑问,也可以添加老师微信juchuang911进行咨询。


免责声明:本网站发表的部分公开资料来源于互联网,目的在于传递更多信息及用于网络分享,并不代表本站赞同其观点和对其真实性负责。聚创考研网尊重版权,如有侵权问题,请及时联系(WX:juchuang911)

  • 24考研复试大纲及其流程解析

  • 【准大三】考研院校专业选择揭秘

  • 24考研调剂全流程解析

搜索不到想要的信息?联系在线客服或者添加微信咨询
取消
复制微信号