内容详情

2018管理类联考:初等数学解题必备公式

作者:聚创考研网-小黑老师 点击量:2305 2017-03-31

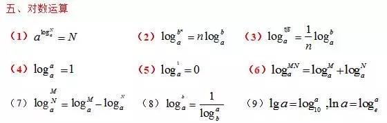
  管理类联考数学基础部分考察四部分内容:算术、代数、几何和数据分析,复习之初,数学科目还是要从基础公式入手。聚英管理类联考小编整理了管理类联考数学公式,大家收藏留用。

 推荐阅读:

  2018管综联考数学的高效复习法

以上是聚创考研网为考生整理的"2018管理类联考:初等数学解题必备公式"的相关考研信息,希望对大家考研备考有所帮助! 备考过程中如有疑问,也可以添加老师微信juchuang911进行咨询。


免责声明:本网站发表的部分公开资料来源于互联网,目的在于传递更多信息及用于网络分享,并不代表本站赞同其观点和对其真实性负责。聚创考研网尊重版权,如有侵权问题,请及时联系(WX:juchuang911)

  • 24考研复试大纲及其流程解析

  • 【准大三】考研院校专业选择揭秘

  • 24考研调剂全流程解析

搜索不到想要的信息?联系在线客服或者添加微信咨询
取消
复制微信号