内容详情

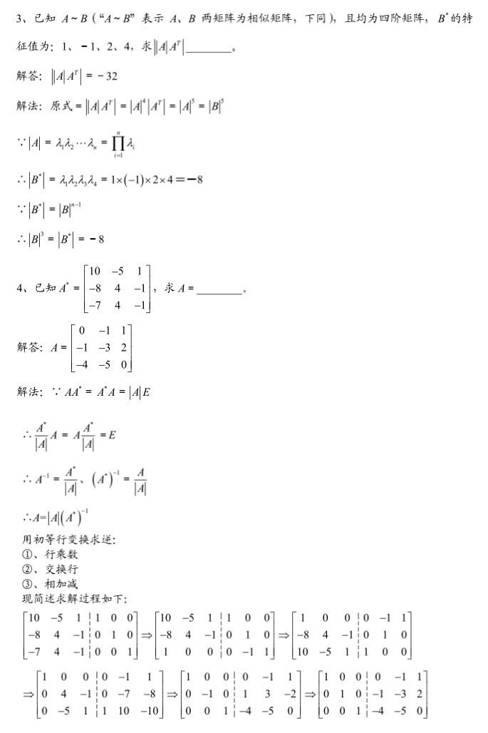
考研数学:线性代数经典题目与解析(二)

作者:聚创考研网-小黑老师 点击量:2003 2017-02-23

  本文,聚英考研信息网为大家整理了考研数学线性代数中的经典题目与解析,帮助大家更好地掌握知识点。

考研数学:线性代数经典题目与解析(二)

  线性代数是大家比较头疼的科目,但是只要大家掌握好概念,多做题并总结做题技巧,就一定不是问题的。

  推荐阅读

  考研数学:线性代数经典题目与解析(一)


以上是聚创考研网为考生整理的"考研数学:线性代数经典题目与解析(二)"的相关考研信息,希望对大家考研备考有所帮助! 备考过程中如有疑问,也可以添加老师微信juchuang911进行咨询。


免责声明:本网站发表的部分公开资料来源于互联网,目的在于传递更多信息及用于网络分享,并不代表本站赞同其观点和对其真实性负责。聚创考研网尊重版权,如有侵权问题,请及时联系(WX:juchuang911)

  • 24考研复试大纲及其流程解析

  • 【准大三】考研院校专业选择揭秘

  • 24考研调剂全流程解析

搜索不到想要的信息?联系在线客服或者添加微信咨询
取消
复制微信号