内容详情

2018管理类联考数学考研资料之强化习题

作者:聚创考研网-小黑老师 点击量:1742 2017-01-10

    以下内容由研信整理发布。

2018管理类联考数学考研资料之强化习题

    1.平均值

  例1:问题求解

  (1)某家庭40人,人均月收入1750元,其中老人和孩子均无收入,父亲月收入4000元,则母亲的月收入为

  A. 3500元 B. 2500元 C. 3000元 D. 2200元 E. 2000元

  (2)三个正实数,,的几何平均值比它们的算术平均值小,则的取值范围是

  A. B. C. D.

  E. 以上答案均不正确

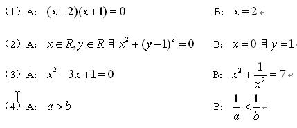
  例2:充分性判断

  某工厂甲车间90人,2006年人均年产值为15万元,乙车间60人,2006年人均年产值20万元,要使两车间年产值都不变,且甲、乙两车间人均年产值最为接近来源考易网

  ① 从甲车间调入乙车间9人 ②从甲车间调入乙车间12人

  2.绝对值

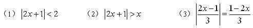
  例1:求的取值范围

 

  例2:问题求解

  例3:充分性判断

  3.实数的组成

  4.实数的基本性质

  5.实数的运算

  例1:问题的求解

  A. 是11的倍数 B. 不是11的倍数 C. 不都是11的倍数

  D. 是质数 E. 以上答案均不正确来源考易网校

  (2)两个非零自然数的最大公约数是6,最小公倍数是180,则满足条件的两个自然数组成的数对共有

  A. 1对 B. 2对 C. 3对 D. 4对 E.5对

  A. 163 B. 164 C. 165 D.166 E. 167

  A. 1 B. -1 C. 2 D. -2 E. 以上答案均不正确

  例2:充分性判断

  (1)三个实数的积为1

  ① 这三个实数两两互为相反数 ② 这三个实数两两互为倒数

  (2)一定是偶数

  (4)自然数的各位数字之积为6

  ① 是除以5余3,除以7余2的最小自然数

  ② 是形如的最小自然数

  6.充分条件、必要条件、充要条件

  例:判断B是A的什么条件

  7. 问题求解试题

  例:问题求解

  (1),则下列不等式成立的是来源考易网校

  A. B. C. D. E. 以上答案均不正确

  (2) 某单位有职工40人,其中参加计算机考核的有31人,参加外语考核的有20人,另有8人没参加任何考核,则同时参加两项考核的职工有

  A. 10人 B. 13人 C. 15人 D. 19人 E. 20人

  (3)一个两位数恰好等于它的两位上的数字和的2倍,则这样的两位数共有

  A. 0个 B. 1个 C. 2个 D. 3个 E. 无数多个

  8. 充分性判断

  例:充分性判断

  (2)购买甲、乙、丙三种物品各一件,共花费10.5元

  ① 买甲2件、乙3件、丙1件,共需25元;

  若买甲1件、丙2件,共需14元

  ② 买甲3件、乙7件、丙1件,共需31.5元;

  若买甲4件、乙10件、丙1件,共需42元

  (3)是等腰直角三角形

  (4)一支队伍排成长800米的队列行军,速度为80米/分钟,在队首的通讯员到队尾传达命令,传达一分钟立即从队尾返回队首,往返共用8.5分钟

  ① 通讯员往返速度均为240米/分钟

  ② 通讯员从队首到队尾的速度为80米/分钟,返回时坐车的速度为400米/分钟

      推荐阅读:

  管联初等数学:复习的五项步骤和四大法宝

  2018管理类联考:初等数学考试难吗?


以上是聚创考研网为考生整理的"2018管理类联考数学考研资料之强化习题"的相关考研信息,希望对大家考研备考有所帮助! 备考过程中如有疑问,也可以添加老师微信juchuang911进行咨询。


免责声明:本网站发表的部分公开资料来源于互联网,目的在于传递更多信息及用于网络分享,并不代表本站赞同其观点和对其真实性负责。聚创考研网尊重版权,如有侵权问题,请及时联系(WX:juchuang911)

  • 24考研复试大纲及其流程解析

  • 【准大三】考研院校专业选择揭秘

  • 24考研调剂全流程解析

搜索不到想要的信息?联系在线客服或者添加微信咨询
取消
复制微信号