二次方程这个考点对所有考生都不陌生,可以说很熟悉,在初中的时候我们就详细研究过。那么在
管理类联考中,这个考点跟过去考的是否相同呢?我们可以来看一下联考所涉及的这部分的考试内容和常见题型。
一、二次方程常考知识点
1.定义
只含有一个未知数,并且未知数的最高次数为2的整式方程,叫做一元二次方程。
2.一元二次方程的解法
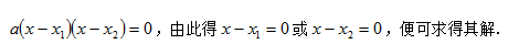
(1)因式分解:把方程化为两个一次因式乘积等于零的形式。

(2)配方:把方程左边变成一个完全平方的形式,而右边是一个常数。

(3)求根公式:用

判断根的情况,把上面推导所得的结果作为公式,直接代入公式求解。
3.一元二次方程根的判别式

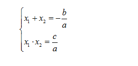
4.一元二次方程根与系数关系(韦达定理)

5.一元二次方程根的分布
二次方程的区间根一般需要从三个方面考虑:判别式,对称轴,特殊点.在某些特殊情况下,可以用根的判别式和韦达定理,或者只用特殊点判断。
聚英考研网提醒:从这些知识点和历年真题中我们能够看出,这部分知识点涉及的内容与初中时无异,只是
加入了条件充分性判断这个题型,增加了我们的判断难度。这部分考点是每年必考,提请考生注意复习。
推荐阅读:
2017管理类联考:数学平均值考点解析
管理类联考综合:数学比和比例考点及例题解析
管理类联考综合:数学绝对值考点解析
以上是聚创考研网为考生整理的"管理类联考数学知识点解析之二次方程"的相关考研信息,希望对大家考研备考有所帮助!
备考过程中如有疑问,也可以添加老师微信juchuang911进行咨询。
免责声明:本网站发表的部分公开资料来源于互联网,目的在于传递更多信息及用于网络分享,并不代表本站赞同其观点和对其真实性负责。聚创考研网尊重版权,如有侵权问题,请及时联系(WX:juchuang911)