内容详情

管联数学公式:比、比例、平均值

作者:聚创考研网-小黑老师 点击量:1947 2016-09-22

  一提到数学,必然离不开数学公式,掌握了数学公式基本就掌握了数学,所谓万变不离其中,运用好数学公式能帮你提高不少做题效率。下面考研信息网与大家分享管联数学公式。

 

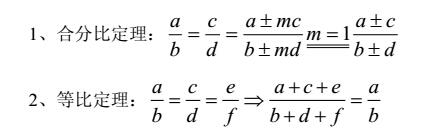
  比和比例:

管联数学公式:比、比例、平均值

平均值:

管联数学公式:比、比例、平均值

  考研的路上,艰辛无比。不仅要有毅力,有坚持学习的恒心,更要有良好的学习计划,适合自己的学习方法。最后,祝愿考研学子们都能考上心仪的院校。

 

  更多信息,欢迎咨询:


  资深考研咨询老师QQ:2355756506


  考研新浪微博:聚英考研在线


  考研微信平台:聚英考研网(sxzykkaoyan)

 


以上是聚创考研网为考生整理的"管联数学公式:比、比例、平均值"的相关考研信息,希望对大家考研备考有所帮助! 备考过程中如有疑问,也可以添加老师微信juchuang911进行咨询。


免责声明:本网站发表的部分公开资料来源于互联网,目的在于传递更多信息及用于网络分享,并不代表本站赞同其观点和对其真实性负责。聚创考研网尊重版权,如有侵权问题,请及时联系(WX:juchuang911)

  • 24考研复试大纲及其流程解析

  • 【准大三】考研院校专业选择揭秘

  • 24考研调剂全流程解析

搜索不到想要的信息?联系在线客服或者添加微信咨询
取消
复制微信号