内容详情

【17在职考研】联考初数知识点解析:数列

作者:聚创考研网-小黑老师 点击量:2000 2016-09-08

  在联考类综合中,数学是占着非常重要的作用的,甚至有人会说得数学者得天下的说法。那么如果我们能定制出科学高校的备考计划,且严格执行的话,必然能极大的提高联考总分。下面考研信息网与大家分享17考研联考初数知识点解析:数列。

 

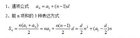
 (二)等差数列

  第三种表达方式的重要运用:如果数列前n项和是常数项为0的n的2试,则该数列是等差数列。


  3、特殊的等差数列  常数列  自然数列  奇数列  偶数列  ect.

 

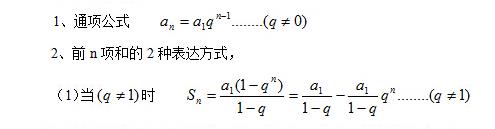
 (三)等比数列

  后一种的重要运用,只要是以q的n次幂与一个非0数的表达式,且q的n次幂的系数与该非0常数互为相反数,则该数列为等比数列

 

   更多信息,欢迎咨询:


  资深考研咨询老师QQ:2355756506


  考研新浪微博:聚英考研在线


  考研微信平台:聚英考研网(sxzykkaoyan)


以上是聚创考研网为考生整理的"【17在职考研】联考初数知识点解析:数列"的相关考研信息,希望对大家考研备考有所帮助! 备考过程中如有疑问,也可以添加老师微信juchuang911进行咨询。


免责声明:本网站发表的部分公开资料来源于互联网,目的在于传递更多信息及用于网络分享,并不代表本站赞同其观点和对其真实性负责。聚创考研网尊重版权,如有侵权问题,请及时联系(WX:juchuang911)

  • 24考研复试大纲及其流程解析

  • 【准大三】考研院校专业选择揭秘

  • 24考研调剂全流程解析

搜索不到想要的信息?联系在线客服或者添加微信咨询
取消
复制微信号