作者:聚创考研网-小黑老师 点击量:935 2016-09-05
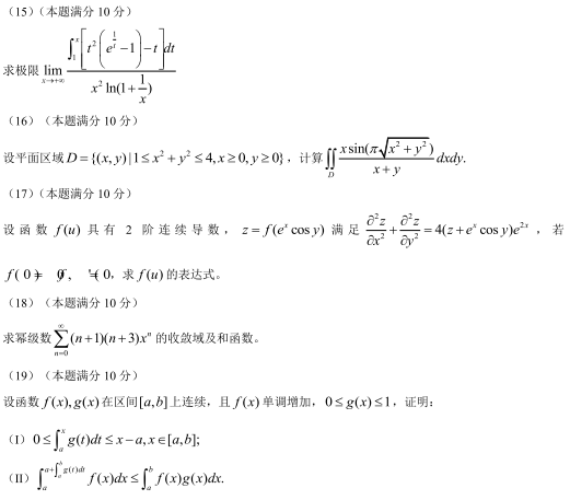
三、解答题:15-23小题,共94分,请将解答写在答题纸指定位置上.解答应写出文字说明、证明过程或演算步骤.

完整版请下载附件
以上是聚创考研网为考生整理的"2014年硕士研究生入学统一考试数三真题及答案详解"的相关考研信息,希望对大家考研备考有所帮助! 备考过程中如有疑问,也可以添加老师微信juchuang911进行咨询。
免责声明:本网站发表的部分公开资料来源于互联网,目的在于传递更多信息及用于网络分享,并不代表本站赞同其观点和对其真实性负责。聚创考研网尊重版权,如有侵权问题,请及时联系(WX:juchuang911)