聚英考研网为大家整理汇总了2012年考研数学一真题及答案解析,部分内容如下:
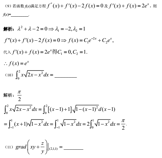
二、填空题(9~14小题,每小题4分,满分24分. 把答案填在题中横线上)
完整版请下载附件。

以上是聚创考研网为考生整理的"2012年考研数学一真题及答案解析"的相关考研信息,希望对大家考研备考有所帮助!
备考过程中如有疑问,也可以添加老师微信juchuang911进行咨询。
免责声明:本网站发表的部分公开资料来源于互联网,目的在于传递更多信息及用于网络分享,并不代表本站赞同其观点和对其真实性负责。聚创考研网尊重版权,如有侵权问题,请及时联系(WX:juchuang911)