作者:聚创考研网-小黑老师 点击量:1106 2016-08-30
聚英考研网为大家整理了2013年全国硕士研究生入学统一考试数学三试题及答案,部分内容如下:
三、解答题,15-23小题,共94分,请将解答写在答题纸指定位置上,解答应写出文字说明、证明过程或演算步骤
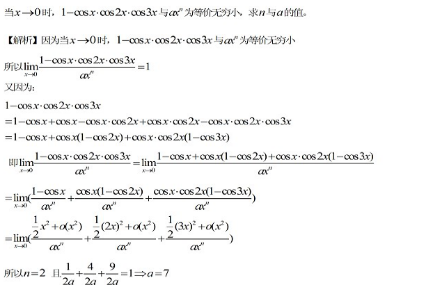
(15).(本题满分10分)

完整版请下载附件。
以上是聚创考研网为考生整理的"2013年全国硕士研究生入学统一考试数学三试题及答案"的相关考研信息,希望对大家考研备考有所帮助! 备考过程中如有疑问,也可以添加老师微信juchuang911进行咨询。
免责声明:本网站发表的部分公开资料来源于互联网,目的在于传递更多信息及用于网络分享,并不代表本站赞同其观点和对其真实性负责。聚创考研网尊重版权,如有侵权问题,请及时联系(WX:juchuang911)