内容详情

【每日做题】管理类联考初等数学(NO.5)

作者:聚创考研网-小黑老师 点击量:1251 2016-08-15

    初数,是指通常在小学或中学阶段所教的数学内容,与高等数学相对。所以,其实初等数学其实是很简单的,下面聚英考研网将带领大家每天做题,提高数学做题能力。

 

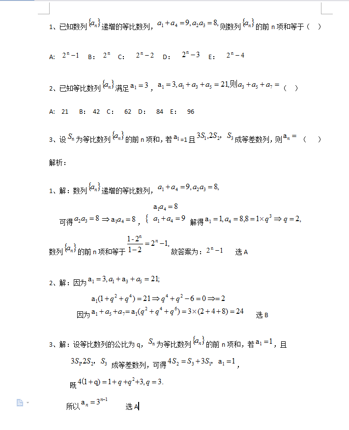
初等数学

 

 

  更多信息,欢迎咨询:

  资深考研咨询老师QQ:2355456370

  考研新浪微博:聚英考研在线

  考研微信平台:聚英考研网(sxzykkaoyan)

 


以上是聚创考研网为考生整理的"【每日做题】管理类联考初等数学(NO.5)"的相关考研信息,希望对大家考研备考有所帮助! 备考过程中如有疑问,也可以添加老师微信juchuang911进行咨询。


免责声明:本网站发表的部分公开资料来源于互联网,目的在于传递更多信息及用于网络分享,并不代表本站赞同其观点和对其真实性负责。聚创考研网尊重版权,如有侵权问题,请及时联系(WX:juchuang911)

  • 24考研复试大纲及其流程解析

  • 【准大三】考研院校专业选择揭秘

  • 24考研调剂全流程解析

搜索不到想要的信息?联系在线客服或者添加微信咨询
取消
复制微信号